Download

KIDNEY CANCER: CASE REPORT

Ligustrazine Inhibits the Migration and Invasion of Renal Cell Carcinoma

Xufeng Zhang1, Junfu Wang2, Yanhua Cao3, Kalin Li4, Chao Sun4, Wen Jiang4, Qian Xin4, Jue Wang4, Tonggang Qi4, Shuangde Liu1*, Yun Luan4*

1Department of Renal Transplantation, The Second Hospital of Shandong University, Jinan, PR China;

2College of Pharmacy, Shandong First Medical University & Shandong Academy of Medical Sciences, Taian, PR China;

3Department of Pharmacy, The Second Hospital of Shandong University, Jinan, PR China;

4Institute of Medical Sciences, The Second Hospital of Shandong University, Jinan, PR China

Abstract

Ligustrazine is a Chinese herb (Chuanxiong) approved for use as a medical drug in China. Recent evidence suggests that ligustrazine has promising antitumor properties. Our preliminary results showed that ligustrazine could inhibit the growth of human renal cell carcinoma (RCC) cell lines. However, the complicated molecular mechanism has not been fully revealed. Therefore, the purpose of this study to investigate the mechanism of ligustrazine resistance in human RCC cells. Cell proliferation, migration, invasion, and colony-formation ability of RCC cells A498 were detected by MTT assay, clonal formation rates, and transwell chamber assay in vitro. The expression of epithelial–mesenchymal transition (EMT)–related proteins were analyzed using western blot test. The effect of ligustrazine on the growth of A498 cells in nude mice was investigated in vivo. Our results showed that ligustrazine could significantly inhibit the proliferation, migration, and invasion of A498 both in vivo and vitro. Western blot analysis showed that the expressions of EMT-related, N-cadherin, snail, and slug proteins were significantly decreased in A498 in the ligustrazine treatment group. This study indicated that ligustrazine could significantly inhibit the malignant biological behaviors of RCC cell lines, possibly by inhibiting the EMT process.

Key words: clear cell carcinoma, epithelial–mesenchymal transition, ligustrazine, migration, proliferation

Received: 25 March 2022; Accepted after revision: 25 October 2022; Published: 14 January 2023

Authors for correspondence: Shuangde Liu and Yun Luan, The Second Hospital of Shandong University, 247#, Beiyuan Dajie, Jinan 250033, PR China. Email: [email protected]; [email protected]

How to cite: Zhang X, et al. Ligustrazine Inhibits the Migration and Invasion of Renal Cell Carcinoma. J Kidney Cancer VHL. 2023; 10(1): 1–8.

DOI: 10.15586/jkcvhl.v10i1.232

Copyright: Zhang X, et al.
License: This open access article is licensed under Creative Commons Attribution 4.0 International (CC BY 4.0). http://creativecommons.org/licenses/by/4.0

Introduction

Renal cell carcinoma (RCC) is one of the most malignant tumors of the urogenital system, the global incidence of this disease is continuously increasing. Despite diagnostic advances, RCC is still the most lethal of the common urological cancers, 20–30% of patients present with metastatic disease. Surgery remains the primary treatment modality. Small tumors are increasingly managed with biopsy, minimally invasive interventions, and surveillance. Increasingly, data reveal the molecular disease background; however, in-depth study is necessary (3, 4), including multimodal, integrated, personalized care to help further understand the disease and lead to new treatments. Tumor invasion and metastasis are complex mechanisms; the multistep basement membrane damage process is an early event (5). Epithelial–mesenchymal transition (EMT) plays a vital role in kidney cancer development, invasion, and migration (6, 7). The degree of EMT in tumors directly determines the malignant degree of tumors. The most prominent feature of EMT is the downregulated expression of epithelial marker E-cadherin, while it upregulated the expression of N-cadherin interstitial cell marker protein and related transcription factors. EMT can be activated by different signaling pathways, such as Notch and Wnt, which are regulated by intracellular transcription factors Snail and Slug to induce EMT. Therefore, we predict that regulating transcription factors involved in EMT can prevent or inhibit cancer cell invasion and metastasis (8, 9).

Ligustrazine is a bioactive alkaloid extracted from the traditional Chinese herbal medicine Ligusticum Chuanxiong Hort, which has long been used to treat neurovascular, cardiovascular, and liver diseases in China (1013). Ligustrazine is also an approved drug in China for rheumatoid arthritis, ranked first according to the synergistic score (14). In recent years, ligustrazine and chalcones have been reported to be used for various biological activities, including anticancer effects (15), such as colorectal cancer, ovarian cancer, and hepatocellular carcinoma (1618). In our previous study (19), we found that ligustrazine possesses the activity of antiproliferation and apoptosis induction in RCC cell lines. However, the mechanisms have not been clearly elucidated as yet. Therefore, this study explores the molecular mechanism of ligustrazine on RCC invasion and metastasis, and provides valuable new targets for clinical research of antirenal cell cancer drugs.

Materials and Methods

Cells proliferation, migration, and invasion analysis

MTT method was used to test the proliferation of ligustrazine on A498 cells. Five groups of ligustrazine concentration were set up: 1.5, 3, 6 and 8 mM. They were incubated with A498 cells for 24, 48, and 72 h, respectively. Fluorescence flow cytometry (FCM) was applied to analyze the effect of ligustrazine on cell cycle arrest of A498 cells. Four groups of ligustrazine concentration were set up, and after incubation with A498 cells for 24, 48, and 72 h the cells were collected. Transwell assays were conducted using a transwell chamber coated with or without Matrigel. Cell migration and invasion experiments were carried out. Basal membrane was laid in the cell invasion chamber. The migratory function of A498 cells was evaluated using a modified Boyden chamber (Transwell; Corning Life Sciences, Inc., Tewksbury, MA, USA) assay with a polycarbonate filter with 8-µm pores placed between the upper and lower chambers. In brief, at 0 and 12 h of incubation with different concentrations of ligustrazine, cells were treated with or without 2 µg/ml cisplatin containing 1% FBS and added (1×106 cells/100 µl) to the upper chamber. The lower chamber was filled with complete medium in the presence of 10% FBS. After a 48-h incubation at 37˚C under 5% CO2, cells that had not migrated were removed, whereas migrated cells were fixed in 4% paraformaldehyde for 10 min at room temperature and stained with the Crystal Violet Staining Solution kit (Solarbio, Beijing Solarbio Science & Technology Co., Ltd., Beijing, China). The number of migrated cells was counted using a Nikon Eclipse 90i microscope.

Colony-forming assay

As previously described, the cell colonies were fixed with 70% ethanol and then stained with a crystal violet solution. Briefly, cells were untreated or treated with ligustrazine at a dose of 0, 1.5, 3, 6 and 8 mM. for 48 h. cells were seeded into 6-well plates at a density of 1000 cells in 2 ml of complete medium per well 300 cells per well. Following another 14 days in drug-free culture, cells were fixed and stained with crystal violet to visualize colonies. Experiments were performed in triplicate and more than 50 cells were counted.

Growth of tumors analysis in nude mice

16 six-week-old nude mice were randomly divided into control group and treatment group (n=5). Two groups of nude mice were inoculated with A498 cells in logarithmic growth phase. Ligustrazine drug treatment group was given 5 mg/kg once every 3 days. Tumor size was measured twice a week after subcutaneous tumorigenesis. Nude mice were executed 27 days later. Tumor growth curves of two groups of nude mice were drawn.

Western blotting

One part of each tumour tissue were pulverized in liquid nitrogen and cytosolic, and nuclear proteins were extracted using NE-PER nuclear and cytosolic extraction reagents (Pierce). Protein extraction buffer and equal amounts of protein were denatured and separated by sodium dodecyl sulfatepolyacryl-amide gel electrophoresis (SDS-PAGE). Protein concentrations were assessed using the BCA Protein Assay kit (Santa Cruz Biotechnology). 10 μg of total protein were electrophoresed on 4-20% gradient SDSPAGE gels and transferred to a nitrocellulose membrane. The expression of EMT related proteins were analyzed by western blot analysis. Primary antibodies of N-cadherin, Snail and Slug used in this study, goat anti-Rabbit IgG (H&L) HRP conjugated was used as the second antibody.

Statistical analysis

Data were presented as means ± standard deviation. ANOVA and paired or unpaired t-tests were performed for statistical analysis as appropriate. Statistical analysis was carried out using the SPSS software. P < 0.05 was considered statistically significant.

Results

Effect of ligustrazine on proliferation, migration, and invasion of renal cell carcinoma

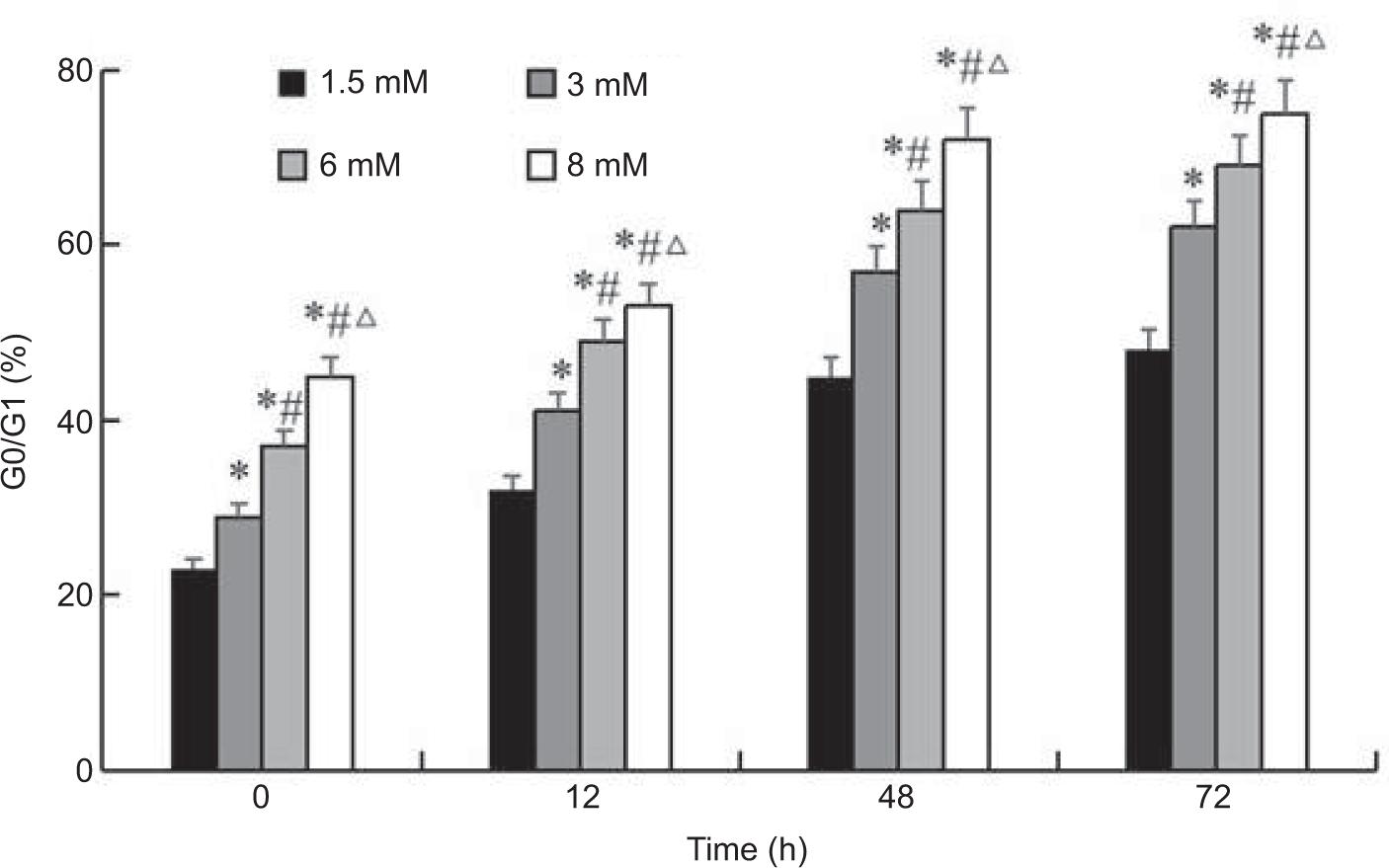
MTT assay results showed that ligustrazine effectively inhibited the viability of human clear cell renal cell carcinoma (ccRCC) A498 cells and has a dose-dependent inhibition rate (P < 0.05, Figure 1). The cell cycle was detected by flow cytometr, the results showed that ligustrazine significant prolong A498 cells G0/G1 phase. With the increasing of drug concentration. the prolongation was more obvious (P < 0.05, Figure 2). Transwell assays were performed to determine the effects of ligustrazine on the migration and invasion of RCC cells; our results showed that the migratory ability of the A498 was inhibited with different concentrations of ligustrazine through a Transwell insert filter at 48 h (P < 0.05, Figures 3 and 4). The above results indicated that ligustrazine could inhibit the proliferation and migration of A498 cells in a time- and dose-dependent manner.

Figure 1: The growth inhibition effect of ligustrazine on A498 cells by MTT assay. The cells were treatment with ligustrazine at each concentration for 24, 48 and 72 h.

Figure 2: The effects of ligustrazine on cell cycle by flow cytometric analysis. ligustrazine significantly extend the cycle of G0/G1.

Figure 3: Tumor cell clone formation assays. ligustrazine significantly reduced colony-forming efficiency in a dose-dependent manner.

Figure 4: Cell migration analysis by transwell assays. ligustrazine significantly reduced the ability of A498 cells migration in a dose-dependent manner.

The effect of ligustrazine on the growth of tumors in nude mice

Animals were sacrificed, tumors were excised, and the tumor weight was recorded. Nude mouse tumor formation experiment results showed that the growth of tumors was inhibited in animals given 5 mg/kg of acceptor subcutaneously. There was no significant difference in terms of mental status and body weight between the two groups. It is concluded that ligustrazine could effectively inhibit the growth rate of A498 cells in nude mice subcutaneously, and it has lower toxicity and better safety (Figure 5).

Figure 5: Effect of ligustrazine on growth of tumors. 5 mg/kg of ligustrazine subcutaneously in nude mice.

Effect of ligustrazine on EMT

The western blot results showed that the protein expression levels of N-cadherin, Snail, and Slug were significantly downregulated when the cells were treated with different concentrations of ligustrazine for (P < 0.05, Figure 6). These results revealed that the effect and mechanism of ligustrazine on A498 cells was related to suppress the process of EMT.

Figure 6: Western blot analysis the protein expression of epithelial-mesenchymal transition marker Snail, Slug and N-cadher in A498 cell.

Discussion

This study showed that ligustrazine could significantly inhibit growth, invasion, and migration in RCC cell lines A498. Moreover, ligustrazine suppressed the EMT pathway through downregulation of the protein expression levels of the epithelial marker in the A498 cells line.

Ligustrazine has been widely used in the clinical treatment of neurovascular, cardiovascular, and liver diseases in China (20, 21). In addition to the application of ligustrazine in the traditional field, some new pharmacological activities have been found, such as free radicals, improved microcirculation, and antitumor effects (1014).

Studies have shown that ligustrazine has definite clinical efficacy for cerebral infarction, however, the statistical analysis of safety evaluation is still lacking. Therefore, it is necessary to carry out multicenter, large sample, high-quality double-blinded, randomized controlled trials in future researches (22, 23).

RCC is the sixth most frequently diagnosed cancer in men and tenth in women worldwide, accounting for 5 and 3% of all oncological diagnoses, respectively, and about 140,000 RCC patients deaths yearly. RCC comprises a diverse group of malignancies arising from the nephron, and is characterized by genetic mutations in factors governing the hypoxia signaling pathway, resulting in metabolic dysregulation, heightened angiogenesis, intratumoral heterogeneity, and deleterious tumor microenvironmental cross talk. ccRCC is the most prevalent type. Identifying specific genetic variances has led to therapeutic innovations and improved survival for patients with ccRCC. Current barriers to effective long-term therapeutic success highlight the need for continued drug development using improved modeling systems. Yet, the breadth of important unanswered questions in ccRCC research far exceeds the accessibility of model systems capable of carrying them out (24, 25). Although RCC is often treated by chemotherapy, the side effects of this treatment are not well tolerated by several patients. Therefore, novel drugs with low toxicity and high efficiency are urgently required for RCC. Our previous study demonstrated that ligustrazine inhibited growth and induction of apoptosis in clear cell RCC in a concentration- and time-dependent manner (26). However, the potential mechanism is still not clear. A498 cells, an RCC cell line, were used to assess the inhibitory growth effects of ligustrazine using the MTT assay and Transwell cell migration and invasion in vitro. In the prsent study, MTT results showed that compared with control group, the concentration of every other group of ligustrazine can inhibit A498 cell proliferation, and with the increase of drug concentration and longer duration of inhibition, the more obvious, whic confirmed that ligustrazine can effectively inhibit A498 cell proliferation.

Cell migration and invasion ability of tumor cells in the body is transferred to the distal form the main cause of new lesions, especially the strength of the invasive ability of tumor cells, the strength of its infiltration ability of normal tissue, patients with tumor in most of the cause of death is in the body diffusion transfer form eventually led to the death of many of the lesions (27, 28). Transwell cell migration and invasion experiment results showed that ligustrazine has inhibitory effect on A498 cell migration and invasion. The inhibition are present time dose dependent. The experimental results showed that when compared with control group, the different concentrations of ligustrazine could significantly inhibit A498 cells proliferation, migration and invasion in a time-and dose-dependent manner.

Cell growth cycle is divided into two stage, interphase and including the early stage of the DNA synthesis (G1 phase), DNA synthesis of late stage (S) and DNA synthesis (G2). Certain conditions, the cells can stop temporarily out of the cell cycle divided, into the G0. In this experiment, the flow cytometry results showed that ligustrazine could multiply G0/G1 phase cells, cells were slower in entering the S-phase of the cell cycle, these results suggested that reduction of cell growth of ligustrazine perhaps related to apoptosis or necrosis. The cell cycle detection experiment in this study is not perfect, and it is not clear yet, and will be further observed and studied in the futures. Taken together, the present study showed that ligustrazine could significant inhibition the proliferation of A498 cells.

A lot of research confirmed that EMT is associated with clear cell renal cell carcinoma a invasion and metastasis, the extent of the tumor cells occur EMT directly determines the degree of malignant tumor. EMT occurs with significant morphological changes, show the epithelioid cells and stromal cells increased less. The salient characteristics of EMT is epithelial markers E-cadherin expression quantity, at the same time N-cadherin interstitial cell marker protein expression and transcription factors related to the rise. EMT can through different signaling pathways such as Notch and Wnt pathways activated, these molecular pathways within cells by transcription factor q and Slug control to induce the occurrence of EMT (29, 30). The results showed that ligustrazine could significantly decrease the protein expression of N-cadherin, snail and Slug.

In summary, the present study confirmed that ligustrazine could significantly inhibition of the RCC cells line proliferation, migration and invasion in vitro and vivo by inhibiting the EMT progression. As we all know, subcutaneous administration is not optimal research, those can not be clarified in the present study and would need further investigations. Collectively, ligustrazine, a traditional Chinese medicine, has been proved to inhibit EMT in many kinds of tumors, but it has not been fully studied in renal cell carcinoma, this study confirmed the effect and mechanism of ligustrazine on human renal cell carcinoma, which will be of great significance for the future clinical application of anti-tumor of urinary system.

Acknowledgement

This project was supported by the Natural Science Foundation of Shandong Province (ZR2020MH001), and Science and Technology Development Project of Jinan Medical and Health (201907001 and 202019126), the Funds of the Second Hospital of Shandong University (26010232007005).

Acknowledgements

The authors are grateful to the Central Research Laboratory of the Second Hospital of Shandong University for technical assistance and generous support.

Funding

This project was supported by the Natural Science Foundation of Shandong Province (ZR2020MH001), and Science and Technology Development Project of Jinan Medical and Health (201907001 and 202019126), Youth Interdisciplinary Innovation ScienceFund of Shandong University (2020QNQT019), and the Scientific and Development f the Second Hospital of Shandong University (26010232007005).

Conflicts of Interest

We declare that there are no conflicts of competing interest.

REFERENCES

1. Bhatt JR, Finelli A. Landmarks in the diagnosis and treatment of renal cell carcinoma. Nat Rev Urol. 2014;11(9):517–25. 10.1038/nrurol.2014.194

2. Linehan WM, Ricketts CJ. The cancer genome atlas of renal cell carcinoma: Findings and clinical implications. Nat Rev Urol. 2019;16(9):539–52. 10.1038/s41585-019-0211-5

3. Brodaczewska KK, Szczylik C, Fiedorowicz M, Porta C, Czarnecka AM. Choosing the right cell line for renal cell cancer research. Mol Cancer. 2016;15(1):83. 10.1186/s12943-016-0565-8

4. Siva S, Kothari G, Muacevic A, Louie AV, Slotman BJ, Teh BS, et al. Radiotherapy for renal cell carcinoma: Renaissance of an overlooked approach. Nat Rev Urol. 2017;14(9):549–63. 10.1038/nrurol.2017.87

5. Lamouille S, Xu J, Derynck R. Molecular mechanisms of epithelial-mesenchymal transition. Nat Rev Mol Cell Biol. 2014;15(3):178–96. 10.1038/nrm3758

6. Dongre A, Weinberg RA. New insights into the mechanisms of epithelial-mesenchymal transition and implications for cancer. Nat Rev Mol Cell Biol. 2019;20(2):69–84. 10.1038/s41580-018-0080-4

7. Zhang N, Ng AS, Cai S, Li Q, Yang L, Kerr D. Novel therapeutic strategies: Targeting epithelial-mesenchymal transition in colorectal cancer. Lancet Oncol. 2021;22(8):e358–68. 10.1016/S1470-2045(21)00343-0

8. Saitoh M. Involvement of partial EMT in cancer progression. J Biochem. 2018;164(4):257–64. 10.1093/jb/mvy047

9. Shibue T, Weinberg RA. EMT, CSCs, and drug resistance: The mechanistic link and clinical implications. Nat Rev Clin Oncol. 2017;14(10):611–29. 10.1038/nrclinonc.2017.44

10. Zhao T, Fu Y, Sun H, Liu X. Ligustrazine suppresses neuron apoptosis via the Bax/Bcl-2 and caspase-3 pathway in PC12 cells and in rats with vascular dementia. IUBMB Life. 2018;70(1):60–70. 10.1002/iub.1704

11. Ma X, Ruan Q, Ji X, Yang J, Peng H. Ligustrazine alleviates cyclophosphamide-induced hepatotoxicity via the inhibition of Txnip/Trx/NF-κB pathway. Life Sci. 2021;274:119331. 10.1016/j.lfs.2021.119331

12. Li H, Yang M. Ligustrazine activate the PPAR-γ pathway and play a protective role in vascular calcification. Vascular. 2021;20:17085381211051477. 10.1177/17085381211051477

13. Du HY, Wang R, Li JL, Luo H, Xie XY, Yan R, et al. Ligustrazine induces viability, suppresses apoptosis and autophagy of retinal ganglion cells with ischemia/reperfusion injury through the PI3K/Akt/mTOR signaling pathway. Bioengineered. 2021;12(1):507–15. 10.1080/21655979.2021.1880060

14. Zhang C, Guan D, Jiang M, Liang C, Li L, Zhao N, et al. Efficacy of leflunomide combined with ligustrazine in the treatment of rheumatoid arthritis: Prediction with network pharmacology and validation in a clinical trial. Chin Med. 2019;14:26. 10.1186/s13020-019-0247-8

15. Bukhari SNA, Alotaibi NH, Ahmad W, Alharbi KS, Abdelgawad MA, Al-Sanea MM, et al. Evaluation of ligustrazine-based synthetic compounds for their antiproliferative effects. Med Chem. 2021;17(9):956–62. 10.2174/1573406416666200905125038

16. Bian Y, Yang L, Sheng W, Li Z, Xu Y, Li W, et al. Ligustrazine induces the colorectal cancer cells apoptosis via p53-dependent mitochondrial pathway and cell cycle arrest at the G0/G1 phase. Ann Palliat Med. 2021;10(2):1578–88. 10.21037/apm-20-288

17. Zhang H, Ding S, Xia L. Ligustrazine inhibits the proliferation and migration of ovarian cancer cells via regulating miR-211. Biosci Rep. 2021;41(1):BSR20200199. 10.1042/BSR20200199

18. Qian J, Xu Z, Zhu P, Meng C, Liu Y, Shan W, et al. Derivative of piperlongumine and ligustrazine as a potential thioredoxin reductase inhibitor in drug-resistant hepatocellular carcinoma. J Nat Prod. 2021;84(12):3161–8. 10.1021/acs.jnatprod.1c00618

19. Luan Y, Liu J, Liu X, Xue X, Kong F, Sun C, et al. Tetramethypyrazine inhibits renal cell carcinoma cells through inhibition of NKG2D signaling pathways. Int J Oncol. 2016;49(4):1704–12. 10.3892/ijo.2016.3670

20. Jia Y, Wang Z, Zang A, Jiao S, Chen S, Fu Y. Tetramethylpyrazine inhibits tumor growth of lung cancer through disrupting angiogenesis via BMP/Smad/Id-1 signaling. Int J Oncol. 2016;48(5):2079–86. 10.3892/ijo.2016.3443

21. Kim M, Kim SO, Lee M, Lee JH, Jung WS, Moon SK, et al. Tetramethylpyrazine, a natural alkaloid, attenuates pro-inflammatory mediators induced by amyloid β and interferon-γ in rat brain microglia. Eur J Pharmacol. 2014;740:504–11. 10.1016/j.ejphar.2014.06.037

22. Yu T, Guo X, Zhang Z, Liu R, Zou L, Fu J, et al. Meta-analysis of the clinical effectiveness and safety of ligustrazine in cerebral infarction. Evid Based Complement Alternat Med. 2016;2016:3595946. 10.1155/2016/3595946

23. Tang SL, Gao YL, He H. Influence of ligustrazine hydrochloride injection combined Buyang Huanwu Tang to intervention on blood viscosity and coagulation factor with acute cerebral infarction patients. Chin J ETMF. 2015;21:161–4.

24. Wolf MM, Kimryn Rathmell W, Beckermann KE. Modeling clear cell renal cell carcinoma and therapeutic implications. Oncogene. 2020;39(17):3413–26. 10.1038/s41388-020-1234-3

25. Trebinska-Stryjewska A, Swiech O, Opuchlik LJ, Grzybowska EA, Bilewicz R. Impact of medium pH on DOX toxicity toward HeLa and A498 cell lines. ACS Omega. 2020;5(14):7979–86. 10.1021/acsomega.9b04479

26. Cao YH, Xue X, Li J, Cao PH, Luan Y. Inhibitory effect of ligustrazine on renal clear cell carcinoma and its mechanism. 2019;20(8):2477–2482. 10.3969/j.issn.1000-484X

27. Yamasaki T, Seki N, Yoshino H, Itesako T, Hidaka H, Yamada Y, et al. MicroRNA-218 inhibits cell migration and invasion in renal cell carcinoma through targeting caveolin-2 involved in focal adhesion pathway. J Urol. 2013;190(3):1059–68. 10.1016/j.juro.2013.02.089

28. Xie D, Li J, Wei S, Qi P, Ji H, Su J, et al. Knockdown of PLOD3 suppresses the malignant progression of renal cell carcinoma via reducing TWIST1 expression. Mol Cell Probes. 2020;53:101608. 10.1016/j.mcp.2020.101608

29. Wang X, Xiao Y, Li S, Yan Z, Luo G. CORO6 promotes cell growth and invasion of clear cell renal cell carcinoma via activation of WNT signaling. Front Cell Dev Biol. 2021; 9:647301. 10.3389/fcell.2021.647301

30. Khan MI, Sobocińska AA, Brodaczewska KK, Zielniok K, Gajewska M, Kieda C, et al. Involvement of the CB(2) cannabinoid receptor in cell growth inhibition and G0/G1 cell cycle arrest via the cannabinoid agonist WIN 55,212-2 in renal cell carcinoma. BMC Cancer. 2018;18(1):583. 10.1186/s12885-018-4496-1